Hukum Kepler ini telah dicetuskan Kepler setengah abad sebelum Newton
mengajukan ketiga Hukum-nya tentang gerak dan hukum gravitasi universal. Di
antara hasil karya Kepler, terdapat tiga penemuan yang sekarang kita kenal
sebagai Hukum Kepler mengenai gerak planet.
Hukum Kepler dibagi menjadi tiga bagian, yaitu :
1.
Hukum Kepler 1 mengenai bentuk lintasan
Planet;
2.
Hukum Kepler 2 mengenai luas daerah
sapuan Planet dibandingkan dengan selang waktu;
3.
Hukum Kepler 3 mengenai perbandingan
antara perioda dengan jarii-jari lintasan.
Hukum Kepler 1
Hukum Kepler yang pertama berbunyi :
“Setiap planet
bergerak dalam lintasan elips dan matahari berada disalah satufokusnya”
Pada waktu itu pernyataan ini dianggap radikal,
karena kepercayaan yang berlaku pada saat itu memandang bahwa orbit harus
didasari dengan lingkaran sempurna. Pengamatan ini sangat penting pada saat
itu karena mendukung pandangan alam semesta menurut Kopernikus. Ini tidak
berarti ia kehilangan relevansi dalam konteks yang lebih modern.
Pada saat
itu Kepler sendiri tidak mengetahui alasan mengapa planet bergerak dengan cara
demikian. Ketika mulai tertarik dengan gerak planet-planet, Newton menemukan
bahwa ternyata hukum-hukum Kepler ini bisa diturunkan secara matematis dari
hukum gravitasi universal dan hukum gerak Newton. Newton juga menunjukkan bahwa
di antara kemungkinan yang masuk akal mengenai hukum gravitasi, hanya satu yang
berbanding terbalik dengan kuadrat jarak yang konsisten dengan Hukum Kepler.
Dimensi paling panjang pada orbit elips
diatas disebut sumbu mayor alias sumbu utama, dengan setengah panjang a.
Setengah panjang ini disebut sumbu semiutama alias semimayor. F1 dan F2 adalah
titik Fokus. Matahari berada pada F1 dan planet
berada pada P. Tidak ada benda langit lainnya pada F2. Total jarak
dari F1 ke P dan F2 ke P sama
untuk semua titik dalam kurva elips. Jarak pusat elips (O) dan titik fokus (F1 dan F2)
adalah ea, di mana e merupakan angka tak berdimensi yang besarnya berkisar
antara 0 sampai 1, disebut juga eksentrisitas. Jika e =
0 maka elips berubah menjadi lingkaran. Kenyataanya, orbit planet berbentuk
elips alias mendekati lingkaran. Dengan demikian besar eksentrisitas tidak
pernah bernilai nol. Nilai e untuk orbit planet bumi adalah 0,017. Perihelion
merupakan titik yang terdekat dengan matahari, sedangkan titik terjauh adalah
aphelion.
Hukum Kepler 2
Hukum
Kepler kedua ini berbunyi : “Luas
daerah yang disapu oleh garis antara matahari dengan planet adalah sama untuk
setiap periode waktu yang sama”.
Pada selang waktu yang sangat kecil, garis yang menghubungkan antara
matahari dengan planet melewati sudut (misal : dθ ). Garis tersebut melewati daerah sapuan yang berjarak
r, dan luas daerah sapuan dA=1/2 r2 dθ .
Sementara
laju planet ketika melewati daerah itu adalah dA/dt.
disebut kecepatan sektor.
dA/dt = 1/2r2 dθ /dt
Hal yang paling utama dalam Hukum II Kepler adalah
kecepatan sektor mempunyai harga yang sama pada semua titik sepanjang orbit
yang berbentuk elips. Ketika planet berada di perihelion, nilai r kecil, sedangkan dθ/dt besar.
Ketika planet berada di aphelion, nilai r besar, sedangkan dθ/dt
kecil.
Hukum
Kepler 3
Planet yang terletak jauh dari matahari memiliki perioda orbit
yang lebih panjang dari planet yang dekat letaknya. Hukum Kepler ketiga
menjabarkan hal tersebut secara kuantitatif.
“Kuadrat waktu yang diperlukan oleh
planet untuk menyelesaikan satu kali orbit sebanding dengan pangkat tiga jarak
rata‐rata planet‐planet
tersebut dari matahari”.
Jika T1 dan T2
mewakili periode dua buah planet berbeda, dan r1 dan r2
mewakili jari-jari semimayor antara dua planet tersebut, maka dapat ditulis
sebagai persamaan :
Dengan kata lain persamaan diatas dapat
ditulis kembali sebagai persamaan
baru sebagai berikut :
ini berarti untuk setiap planet harus
memiliki nilai r^3/T^2 yang sama.
Berikut adalah data mengenai jari-jari semimayor dan waktu periode planet-
planet yang menjadi dasar pemikiran Kepler terhadap hukum Kepler 3.
Pendekatan Hukum Kepler 3 dengan Hukum Newton
Menurut pendapat Isaac Newton, Hukum
Kepler 3 dapat diturunkan secara matematis dan da[at dihubungkan dengan Hukum
Newton mengenai Gaya Gravitasi Universal dan pergerakan sentripetal. Dari rumus
awal hukum Kepler 3
apabila ditinjau dengan hukum Newton
kedua dan hukum gerak melingkar, maka dapat dituliskan dalam persamaan berikut
:
δF = ma ….. Persamaan hukum Newton II
Frad = m arad …...Persamaan Gerak melingkar
dengan arad adalah percepatan sentripetal = v^2/r
apabila ditinjau dengan hukum Newton
kedua dan hukum gerak melingkar, maka dapat dituliskan dalam persamaan berikut
:
sehingga jika diturunkan dengan pendekatan
Hukum Newton II akan menjadi persamaan sebagai berikut :
m1 adalah massa planet pertama (akan dibandingkan
dengan planet kedua) , mM adalah massa matahari. r 1 adalah
jari-jari rata-rata planet terhadap matahari, sedangkan v1 adalah
kelajuan orbit rata-rata planet pertama.
Waktu
yang diperlukan sebuah planet untuk menyelesaikan satu orbit adalah T1,
di mana jarak tempuhnya sama dengan keliling lingkaran ( 2πr1 ) . Dengan demikian, besar v1
adalah :
Apabila metode yang sama dilakukan untuk
planet kedua dengan jari-jari dan massa yang berbeda maka akan didapat
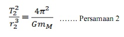
persamaan umum yang sama. Dengan r2 , m2, T2
berturut-turut adalah jari-jari rata-rata planet dengan matahari, massa planet
dan periode orbit planet.
Perhatikan ruas kanan pada persamaan 1
dan persamaan 2, nilai antara ruas kanan persamaan 1 dan 2 adalah sama. oleh
karena itu, maka apabila persamaan 1 dan 2 digabungkan maka akan menjadi
persamaan hukum Kepler 3.
Hukum Kepler 3 relevan dengan konsep gerak
melingkar dan gaya gravitasi universal hasil temuan Isaac Newton dan dapat
dibuktikan secara matematis.
Pustaka :
Daton, Goris. S., . (2007) . Fisika SMU XI . Jakarta : Grasindo
Giancoli, Douglas. C., . (2001) . FISIKA Jilid 1 (terjemahan) .
Jakarta : Erlangga
Halliday & Resnick . (1991) . Fundamental Of Physics (Ed.1)
(terjemahan) .
Jakarta : Erlangga
Tipler, P.A., . (1998) . Fisika
untuk Sains dan Teknik–Jilid I (terjemahan) .
Jakarta : Erlangga
Young,
Hugh D. & Freedman, Roger A., . (2002) . Fisika Universitas
(terjemahan), Jakarta : Erlangga





















Makasih bgt bro info nya, sangat bermanfaat buat saya. hehe
BalasHapusJangan Lupa mampir ke blog EXPO Lowongan Kerja Terbaru ane ya Lowongan Kerja BUMN PT. Kereta Api Indonesia (Persero)